高级搜索

同期调强放疗联合内分泌治疗对局部晚期前列腺癌乏力症状的影响

Effect of Intensity Modulated Radiotherapy Combined with Hormonal Therapy on Fatigue in Patients with Locally Advanced Prostate Cancer

  • 摘要:
    目的  评价调强放疗联合内分泌治疗对局部晚期前列腺癌乏力症状的影响。
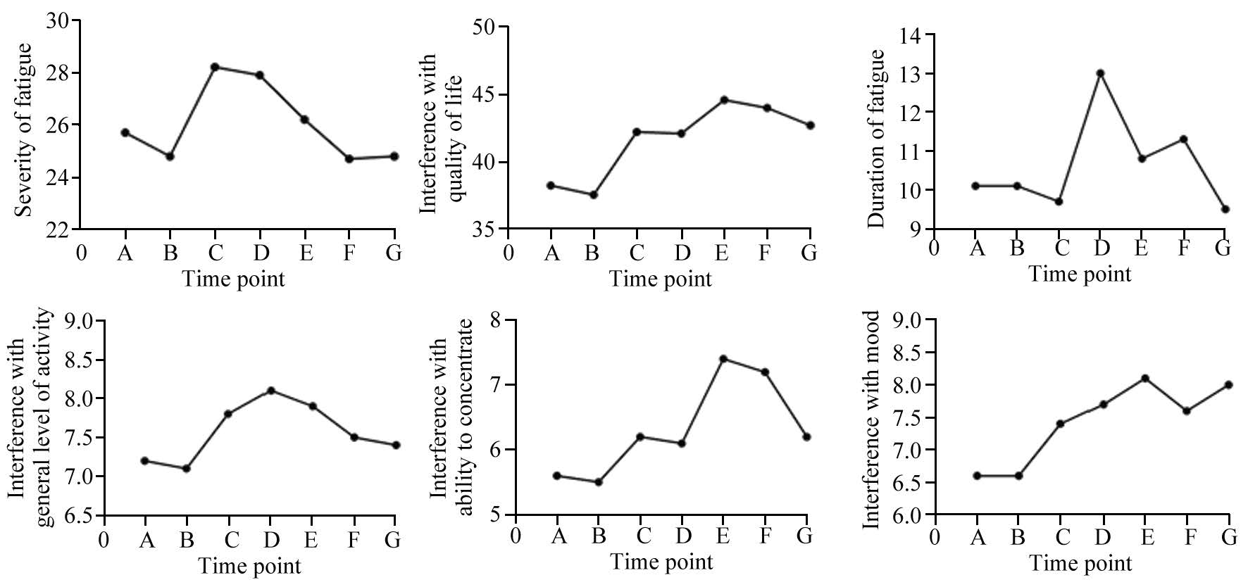
    方法  对符合纳入标准的局部晚期前列腺癌患者采用同期三维适形调强放疗联合内分泌治疗。采用FSI(FatigueSymptom Inventory)量表进行长期问卷随访,调查时间分别为治疗前(A)、治疗结束后(B)、治疗结束3月(C)、12月(D)、24月(E)、36月(F)、48月(G)。随访内容包括疲劳程度、对生活质量影响程度及上周疲劳持续时间3个维度。Logistic多分类回归模型评价危险因素。
    结果  共97例局部晚期前列腺癌患者纳入研究。中位随访时间43.9月。乏力指数与PSA水平、Gleason评分、ECOG评分及文化程度相关(P<0.05);年龄和临床分期与乏力指数无关(P>0.05);多分类回归分析显示PSA水平和ECOG评分是癌症相关性乏力的独立危险因素。疲劳程度在各个随访时间点未体现出差异(P>0.05),但最严重疲乏程度发生在时间点B和C;时间点C、D、E、F和G的疲乏对生活影响积分均高于基线评价,且差异有统计学意义(P<0.05),尤其是对日常活动影响积分、注意力积分和情绪积分。疲乏持续时间呈现波动状态,时间点D、E、F呈明显上升,差异有统计学意义(P<0.05)。
    结论  ECOG评分高、Gleason≥8分、PSA>20ng/ml、且文化程度高的局部晚期前列腺癌患者,在接受同期放疗联合内分泌治疗后,要关注乏力对生活质量产生的影响,特别是在对日常活动、注意力和情绪方面。

     

    Abstract:
    Objective  To evaluate the effect of intensity modulated radiotherapy (IMRT) combined withhormonal therapy on fatigue in patients with locally advanced prostate cancer.
    Methods  IMRT combinedwith hormonal therapy were administered to the patients with locally advanced prostate cancer who met theinclusion criteria. Long-term follow-up was performed using the Fatigue Symptom Inventory (FSI) beforetreatment (A), at the end of IMRT (B), and three months (C), 12 months (D), 24 months (E), 36 months(F), and 48 months (G) after IMRT. Three dimensions of fatigue were assessed during follow-up: severity,perceived interference with quality of life, and duration in the past week, meanwhile, we used Cox regressionmodel to evaluate the risk factors.
    Results  Totally, 97 patients were enrolled from February 2007 toNovember 2013. Median follow-up time was 43.9 months. The fatigue index was related to the factors ofPSA, Gleason, ECOG and education(P<0.05), however, not related to the age or TNM staging(P>0.05).PSA and ECOG score were the independent risk factors of cancer-related fatigue. No significant differencewas measured in fatigue among each follow-up time points (P>0.05), but the most severe fatigue occurred attime points B and C. The score for interference with quality of life was significantly higher at each followuptime points after the radiotherapy than the baseline (P<0.05), especially the scores for interference withgeneral level of activity, ability to concentrate and mood. The score for duration of fatigue fluctuated acrossthe time points, with significantly increased scores at time points D, E, and F (P<0.05).
    Conclusion  Forlocally advanced prostate cancer patients with a high ECOG score, a Gleason score >8 points, PSA levels>20 ng/ml and high education, the attention should be paid to the interference of fatigue with quality oflife, especially general level of activity, ability to concentrate and mood, after radiotherapy combined withhormonal therapy.

     

/

返回文章
返回