高级搜索

PD-L1表达与结直肠癌预后及临床病理特征关系的Meta分析

Prognostic and Clinicopathological Significance of PD-L1 Expression for Colorectal Cancer: A Meta-analysis

  • 摘要:
    目的 探讨PD-L1表达在结直肠癌(CRC)预后及临床病理特征中的意义。
    方法 系统检索PubMed、Embase、Web of Science、Cochrane Library、CNKI和万方数据库,检索有关PD-L1表达与CRC预后关系的文献。检索时间截止2018年6月。按纳入排除标准筛选文献及提取数据,用Stata SE12.0软件进行Meta分析。
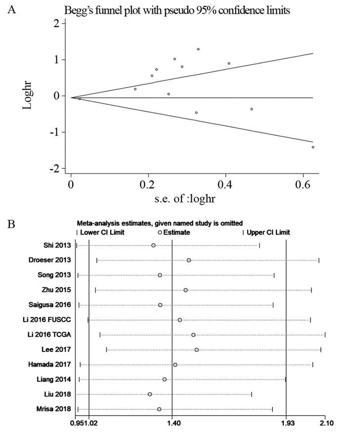
    结果 纳入18篇文献,共5 724例CRC患者。结果显示:肿瘤组织PD-L1表达与CRC的总生存期(OS)(HR: 1.40, 95%CI: 1.02~1.93, P=0.039)和无复发生存期(RFS)(HR: 1.67, 95%CI: 1.27~2.20, P=0.000)显著下降有关,而与无疾病生存期(DFS)(P=0.933)无显著关联;且PD-L1表达还与肿瘤分化(P=0.016)和淋巴结转移(P=0.028)显著相关,与性别、肿瘤位置、TNM分期、浸润深度、血管侵犯、化疗、MSI状态和KRAS突变无显著相关性。亚组分析中,肿瘤细胞中PD-L1表达与OS(P=0.033)和RFS(P=0.001)显著下降相关,而肿瘤浸润免疫细胞中PD-L1表达与OS(P=0.991)和RFS(P=0.210)的关联比较差异无统计学意义。
    结论 肿瘤组织PD-L1表达提示结直肠癌预后不良,且肿瘤细胞中PD-L1与肿瘤浸润免疫细胞中PD-L1表达对结直肠癌预后的预测意义可能不一致。

     

    Abstract:
    Objective To systematically evaluate the prognostic and clinicopathological significance of PD-L1 expression in colorectal cancer(CRC) tissues by meta-analysis.
    Methods PubMed, Embase, Web of Science, Cochrane Library, CNKI and Wanfang database were used to search for the studies related to PD-L1 expression and the prognosis of CRC. The search time was until June 2018. The data of survival and clinicopathological features were extracted from eligible studies and analyzed by Stata SE12.0 software.
    Results Eighteen studies with 5724 CRC patients were enrolled. PD-L1 expression in CRC tissues was associated with shorter overall survival (OS) (HR:1.40, 95%CI:1.02-1.93, P=0.039) and relapse-free survival (RFS) (HR:1.67, 95%CI:1.27-2.20, P=0.000), but not with disease-free survival (DFS)(P=0.933). And PD-L1 expression was significantly associated with tumor differentiation(P=0.016) and lymph node metastasis(P=0.028), but not with gender, tumor location, TNM staging, invasion depth, venous invasion, chemotherapy, MSI status or KRAS mutation. In addition, subgroup analysis showed that PD-L1 expression in tumor cells, not in tumor infiltrating immune cells (OS: P=0.991; RFS: P=0.210), was significantly associated with shorter OS(P=0.033) and RFS(P=0.001).
    Conclusion PD-L1 expression in CRC tissues is associated with poor prognosis. In addition, the prognostic significance of PD-L1 expression in tumor cells might be inconsistent with that in tumor-infiltrating immune cells.

     

/

返回文章
返回