高级搜索

淋巴细胞变化对非小细胞肺癌患者免疫检查点抑制剂相关肺炎的预测价值

Predictive Value of Lymphocyte Count Changes on Checkpoint-inhibitor-related Pneumonitis in Patients with Non-small Cell Lung Cancer

  • 摘要:
    目的 探讨外周血淋巴细胞、T细胞、Th细胞和Ts细胞计数与非小细胞肺癌(NSCLC)免疫检查点抑制剂相关性肺炎(CIP)发生的相关性。
    方法 回顾性分析85例使用免疫检查点抑制剂治疗的NSCLC患者临床资料; 配对t检验分析淋巴细胞变化; ROC曲线分析预测效能; Spearman相关系数检验分析淋巴细胞变化与CIP等级之间线性关系。
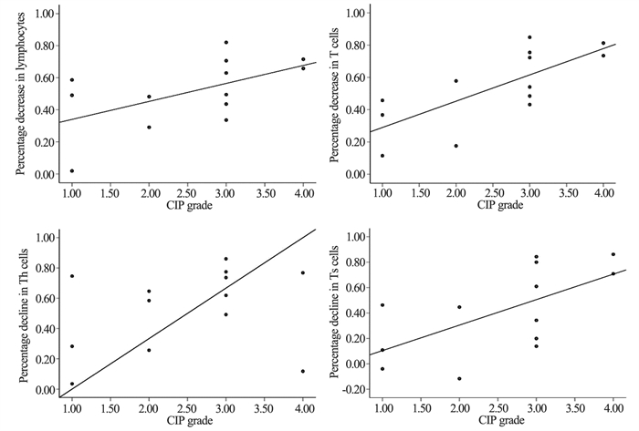
    结果 CIP发生时患者淋巴细胞、T细胞、Th细胞和Ts细胞计数与基线相比明显降低(P < 0.05), 对照组未观察到该变化。ROC曲线分析显示淋巴细胞、T细胞、Th细胞和Ts细胞计数的AUC分别为0.867、0.843、0.865和0.843。淋巴细胞、T细胞和Ts细胞计数较基线下降的百分比和CIP的严重程度存在线性关系(P < 0.05)。
    结论 淋巴细胞、T细胞、Th细胞和Ts细胞计数下降对CIP的发生有一定预测价值, 其中淋巴细胞变化对发生CIP的预测价值最大。淋巴细胞、T细胞和Ts细胞计数较基线下降的百分比与CIP的严重程度有相关性。

     

    Abstract:
    Objective To investigate the correlation of peripheral blood lymphocyte, T-cell, Th-cell, and Ts-cell counts with the development of checkpoint-inhibitor-related pneumonitis in NSCLC.
    Methods The clinical data of 85 patients with NSCLC treated with immune checkpoint inhibitors (ICIs) were retrospectively analyzed.Paired t-test was used to analyze lymphocyte changes.ROC curves were utilized to analyze predictive performance.The Spearman correlation coefficient test was conducted to analyze the linear relationship between lymphocyte changes and CIP grade.
    Results A statistically significant decrease in lymphocyte, T-cell, Th-cell, and Ts-cell counts from the baseline was observed in patients at the onset of CIP (P < 0.05), whereas no such change was observed in the control group.ROC curve analysis revealed AUCs of 0.867, 0.843, 0.865, and 0.843 for lymphocyte, T-cell, Th-cell, and Ts-cell counts, respectively.A linear relationship was found between the percentage decrease in lymphocyte, T-cell, and Ts-cell counts from the baseline and the severity of CIP (P < 0.05).
    Conclusion Decreased lymphocyte, T-cell, Th-cell, and Ts-cell counts have a predictive value for the development of CIP, and the lymphocyte count change has the greatest predictive value.The percentage decrease in lymphocyte, T-cell, and Ts-cell counts from the baseline is correlated with the severity of CIP.

     

/

返回文章
返回