高级搜索

多发性骨髓瘤患者预后的社会经济学因素分析及特异性生存率预测模型的构建

Prognostic Analysis of Socioeconomic Factors in Multiple Myeloma Patients and Construction of A Myeloma-specific Survival Prediction Model

  • 摘要:
    目的 探究社会经济学因素对多发性骨髓瘤(MM)患者预后的影响并构建预测模型评估患者骨髓瘤特异性生存(MSS)。
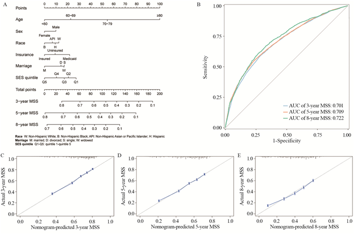
    方法 由SEER数据库纳入32 625例2007年1月至2016年12月间诊断为MM的患者。Cox回归模型分析MSS的预测因素,森林图展现多因素亚组分析的结果,多因素Cox分析中确定的显著变量用来构建列线图。曲线下面积(AUC)和校准图评估列线图的预测性能,利用限制性三次样条曲线构建基于列线图评分的风险分层系统。
    结果 患者按其社会经济地位(SES)的高低分为五组,SES更高的群体中白人、有保险者、已婚人群和城市居民的比例相对更高。单因素及多因素Cox分析表明年龄、性别、种族、婚姻状态、保险状况和SES是患者MSS独立预后影响因素(均P < 0.001)。亚组分析显示随着SES降低,MSS风险增加的线性趋势在白人、已婚、有保险和城市患者中最为显著(均P < 0.001)。构建的列线图在训练集和验证集中均展现出良好的区分度和准确性,其预测3年、5年和8年MSS的AUC值分别为0.701、0.709和0.722。根据列线图总分和风险比建立了风险分层模型,所划分的三类不同风险等级组别间存在显著的生存差异(均P < 0.001)。
    结论 社会经济学因素如婚姻状态、保险状况和SES等能够对MM患者的生存结局造成明显影响,基于这些因素构建的列线图及风险分层模型能较准确可靠地预测MSS。

     

    Abstract:
    Objective To investigate the effects of socioeconomic factors on the prognosis of multiple myeloma (MM) patients and construct a prediction model for evaluating myeloma-specific survival (MSS) rates.
    Methods A total of 32625 patients diagnosed with MM between January 2007 and December 2016 were included through the SEER database. Cox regression model was used to analyze the predictive indicators of MSS. The results of the multivariate subgroup analysis were presented as forest plots. The significant factors identified in the multivariate Cox analysis were used to construct a nomogram. The predictive performance of the nomogram was assessed using the AUC and calibration plots. A nomogram score-based risk stratification system was constructed using a restricted cubic spline.
    Results Patients were divided into five groups according to their socioeconomic status (SES). Groups with higher SES had relatively higher proportions of those part of the White, insured, married, and urban populations. Age, gender, race, marital status, insurance status, and SES were independent prognostic factors of MSS (all P < 0.001). The linear trend of increased MSS risk with decreasing SES was most pronounced among the White, married, insured, and urban patients (all P < 0.001). The nomogram exhibited good discrimination and accuracy in both training and validation sets, showing AUC values of 0.701, 0.709, and 0.722 for predicting 3-, 5-, and 8-year MSS, respectively. A risk stratification model was established based on the nomogram total points and the HR, which then divided patients into three different risk levels with substantial survival disparities (all P < 0.001).
    Conclusion Socioeconomic factors, such as marital status, insurance status, and SES, have a significant impact on the survival outcomes of MM patients. The nomogram and the risk stratification model based on these factors can accurately and reliably predict MSS.

     

/

返回文章
返回